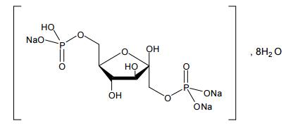
果糖二磷酸钠,标准品(中检所)
| CAS号:81028-91-3 | 产品编号:100539 品牌 : 中检所
CAS号:81028-91-3 |
||
| 别名: | 1,6-二磷酸果糖三钠盐八水合物 | ||
|---|---|---|---|
| 英文名称: | Fosfructose Trisodium | ||
| 分子式: | |||
| 分子量: | 550.18 | ||
| 保存条件: | 阴凉处,避光 | ||
| MDL号: | |||
果糖二磷酸钠,标准品(中检所)

(1)(1)(1).jpg)

