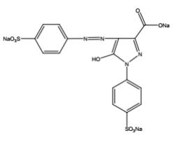
柠檬黄,标准品(中检所)
| CAS号:1934-21-0 | 产品编号:510004 品牌 : 中检所
CAS号:1934-21-0 |
||
| 别名: | 肼黄;食用柠檬黄;酸性黄23;1-(4-磺酸苯基)-4-(4-磺酸苯基偶氮)-5-吡唑啉酮-3-羧酸三钠盐;食用色素黄色5号;他特秦 | ||
|---|---|---|---|
| 英文名称: | Lemon Yellow | ||
| 分子式: | |||
| 分子量: | 534.36 | ||
| 保存条件: | 2-8℃ | ||
| MDL号: | |||
柠檬黄,标准品(中检所)

(1)(1)(1).jpg)

