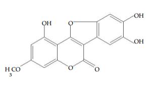
蟛蜞菊内酯,标准品(中检所)
| CAS号:524-12-9 | 产品编号:111885 品牌 : 中检所
CAS号:524-12-9 |
||
| 别名: | |||
|---|---|---|---|
| 英文名称: | Wedelolactone | ||
| 分子式: | |||
| 分子量: | 314.25 | ||
| 保存条件: | -20℃ | ||
| MDL号: | |||
蟛蜞菊内酯,标准品(中检所)

(1)(1)(1).jpg)

